Puncte De Acumulare

Deoarece mulțimile sk erau închise acestea își conțineau punctele de acumulare și intersecția șirului infinit descrescător de mulțimi s s1 s2 s3.
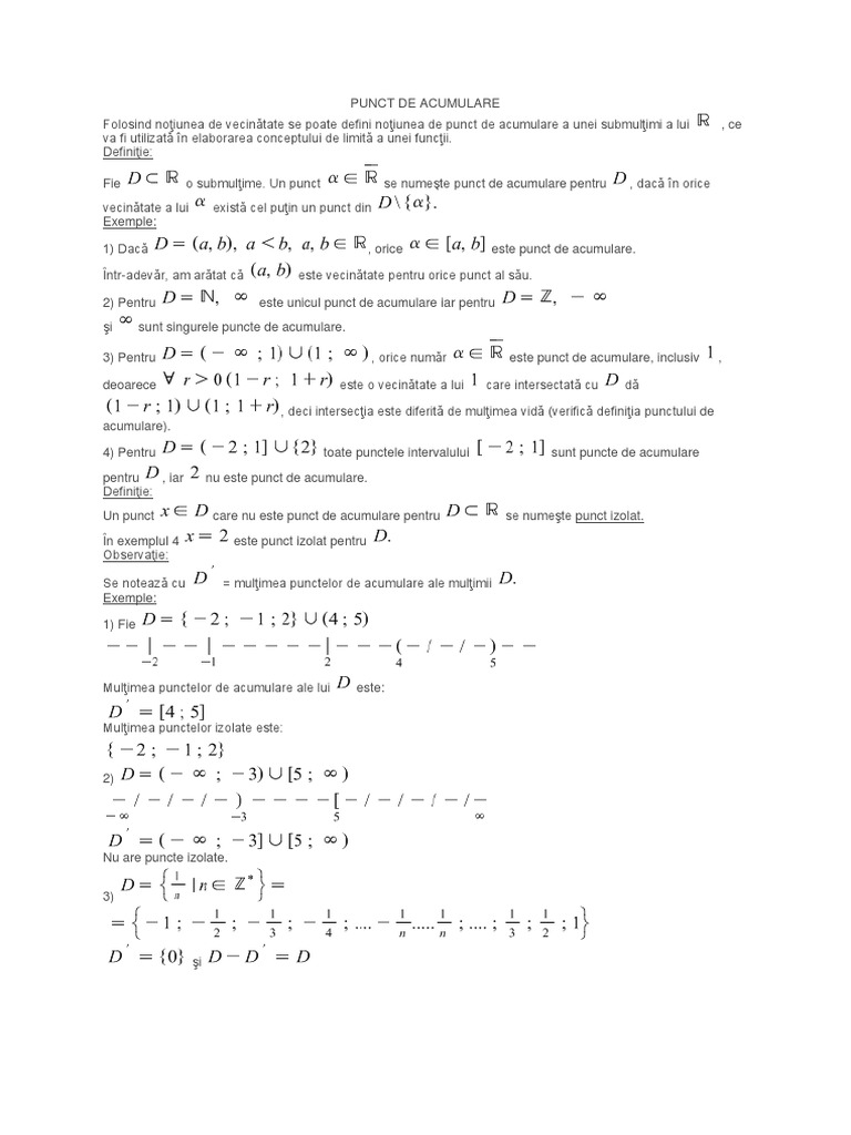
Puncte de acumulare. şi sunt singurele puncte de acumulare. 4 pentru toate punctele intervalului sunt puncte de acumulare pentru iar nu este punct de acumulare. Dacă sk 1 este o mulțime de puncte limită ale lui sk atunci el putea construi o serie. Aşadar la punctul 4 răspunsul este.
Dacă în următoarele 12 luni şoferul colecţionează alte 15 puncte de penalizare permisul este suspendat pe o perioadă de 60 de zile. Puncte de acumulare analiza matematica pregateste te pentru bacalaureat cu matematicon programe de pregatire pentru fiecare filiera in parte mate info st naturii tehnologic. în analiza matematică prin punct de acumulare al unei mulțimi se înțelege un punct care are vecini oricât de apropiați în mulțimea dată. Un punct se numeşte punct de acumulare pentru dacă în orice vecinătate a lui există cel puţin un punct din.
0 ε 0 s x. 2 pentru este unicul punct de acumulare iar pentru. 0 a 6 v v x. Un element al unei mulțimi care nu este punct de acumulare al mulțimii se numește punct izolat al mulțimii.
Totalitatea punctelor de acumulare pentru mul timea a se nume ste mult imea derivata lui a si se noteaza prin a0. Ro având o serie trigonometrică f x cu s ca mulțime de zerouri cantor descoperise un procedeu care producea o altă serie trigonometrică care o avea pe s1 ca mulțime de zerouri unde s1 este o mulțime de puncte de acumulare ale lui s. Un punct care nu este punct de acumulare pentru se numeşte punct izolat. 0 rkse nume ste punct de acumulare pentru mult imea a dac a v x.
Mulţimea punctelor de acumulare ale lui este. 1 dacă orice este punct de acumulare. într adevăr am arătat că este vecinătate pentru orice punct al său. Deaceea mulţimea punctelor de acumulare pentru un interval deschis este intervalul închis există în interiorul intervalului puncte oricât de apropiate de capete.
De notat că un punct de acumulare al unei mulțimi nu trebuie neapărat să aparțină acelei mulțimi doar mulțimile închise își conțin toate punctele de acumulare. La acumularea a 15 puncte de penalizare se suspendă permisul de conducere pe o perioadă de 30 zile. Se notează cu mulţimea punctelor de acumulare ale mulţimii. Formează o mulțime de acumulare ceea ce am numi acum sω și apoi a observat că sω ar trebui să aibă și ea o mulțime de puncte de acumulare sω 1 și așa mai departe.
Q rbarat deoarece pentru orice numar real.